陈义华研究组发现新颖的聚酮类化合物起始机制

发布时间:2021-07-27

  陈义华研究员研究组一直致力于微生物天然产物的生物合成和合成生物学的研究,在揭示和理解不同天然产物独特的生物合成机制的基础上,利用合成生物学的理念设计并改造获得更多新结构和优良活性的天然产物。近年来已经成功解析了链丝菌素、庚糖杀菌素、白黄菌素等的生物合成机制,相关研究为药物的开发和设计提供了新的思路,推动了天然产物药物的发展。研究成果和综述先后发表在国际权威期刊PNASNat CommunJACSAngew Chem Int EdAdv Sci以及Nat Prod Rep等杂志。在刚刚发表的工作中(Nat Commun, 2021,12:4499),研究组发现了一类新颖且广泛存在的聚酮化合物甲酯化在线修饰起始机制。 

  

 

 

  1:甲酯化在线修饰起始聚酮化合物ART的生物合成 
 

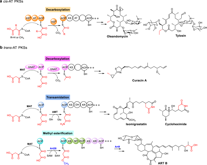
  聚酮类天然产物是微生物天然产物的重要组成部分,具有良好的药用价值和其他重要的生理功能。化合物AurantininART)是一类具有独特6/7/8/5四环复杂结构的多烯聚酮类化合物,本研究中作者首先鉴定了ART的生物合成基因簇并通过解析化合物ART结构中不同甲基的形成方式研究了其聚酮链的组装过程。在这一研究过程中作者发现一个甲基转移酶基因art28其对于ART的生物合成是必须的,然而在ART结构中却找不到其对应催化形成的甲基,这一结果引起了作者的兴趣。通过进一步的研究,作者发现Art28为氧甲基转移酶,具体催化聚酮生物合成起始过程中丙二酰ACPmalonyl-ACP)的在线甲酯化,即负责将连接至ACP上的丙二酰基末端的羧酸进行甲酯化形成丙二酰ACP甲酯,进而起始聚酮链的延伸。研究还发现该甲酯基团一直存在于其整个生物合成过程中,直到最后通过酯酶Art9将中间产物ART 9B末端的甲酯水解形成羧酸,进而泵出细胞外,形成最终的活性产物ART BART生物合成过程中发现的羧基甲酯化和去甲酯化机制,一方面阻止了其生物合成过程中末端羧基发生其他副反应,同时也保护了产生菌免受该化合物的毒性作用。最后,作者还分析了Art28蛋白的同源蛋白在其他生物合成基因簇中的广泛性,发现这一独特的聚酮起始机制广泛存在于不同种类的细菌和基因簇中。这一甲酯化起始机制的发现不仅丰富了聚酮类化合物的生物合成起始方式,拓展了细菌利用修饰作用实现自我保护策略的多样性,同时有助于加深对聚酮类化合物生物合成机制的理解,为进一步利用合成生物学获得更多具有良好生物活性的聚酮化合物奠定基础。 
 

  

 
 

  2:聚酮类化合物的在线修饰起始方式 
 

  2021年723日国际综合性权威期刊《Nature communications》在线发表了题为“Initiating polyketide biosynthesis by on-line methyl esterification”的研究文章,报道了这一新颖的在线甲酯化方式起始聚酮类化合物的生物合成。中国科学院微生物研究所副研究员李鹏伟为该论文的第一作者,陈义华研究员为通讯作者。该研究获得合成生物学国家重点研发计划、国家自然科学基金以及中科院和内蒙古合作项目的资助。南京农业大学的陆兆新教授、微生物研究所的钟瑾研究员以及加拿大劳里埃大学Horsman教授为该工作的完成提供了重要的指导和帮助。 

    文章链接:https://www.nature.com/articles/s41467-021-24846-7

 

 


附件下载: